Skip to content

Supporting clinical studies with ease

Clinically validated against gold standards

Albus Home has been validated through ethically approved clinical studies and published by leading experts in respiratory medicine and biomedical engineering. Our validation studies have been performed in real-world home environments with all their natural variability (such as usual beds, blankets, co-sleepers), and across a diverse population demography, including a range of ages (children to elderly), genders, BMIs and patients with various respiratory conditions.


Usability Assessment Of Albus Home Contactless Device For Long Term Nocturnal Monitoring In Children With Asthma

American Journal of Respiratory and Critical Care Medicine 2025;211:A2237

Prasad Nagakumar, William Do, Christopher Wheeler, Mikesh Udani, Sejal Saglani, and Louise Fleming

Read full article
Usability Assessment Of Albus Home Contactless Device For Long Term Nocturnal Monitoring In Children With Asthma

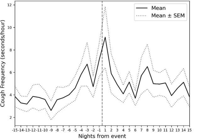
Contactless and automated monitoring to study changes in nocturnal parameters before and after asthma attacks in children

British Thoracic Society Winter Meeting 2024, Thorax 2024;79:A63-A64

P. Nagakumar, W. Do, M. Udani, O. Carr, L. Fleming, and S. Saglani

Read full article
Contactless and automated monitoring to study changes in nocturnal parameters before and after asthma attacks in children

Monitoring for early warning signs of asthma attacks and response to treatment with oral corticosteroids using the Albus Home contactless monitoring system.

European Academy of Allergy and Clinical Immunology Congress 2024

P. Nagakumar; W. Do ; O. Carr; L. Fleming ; S. Saglani

Read full article
Monitoring for early warning signs of asthma attacks and response to treatment with oral corticosteroids using the Albus Home contactless monitoring system.

Contactless Bedside Monitoring Using the Albus Home Research Device (RD) to Predict Severe Asthma Attacks in Children

American Journal of Respiratory and Critical Care Medicine 2024;209:A5167

Nagakumar, P., Do, W., Carr, O., Saglani, S. and Fleming, L.

Read full article
Contactless Bedside Monitoring Using the Albus Home Research Device (RD) to Predict Severe Asthma Attacks in Children

Performance of cough monitoring by Albus Home, a contactless and automated system for nocturnal respiratory monitoring at home. 

ERJ Open Research 2022 8(4)

Do, W., Russell, R., Wheeler, C., Javed, H., Dogan, C., Cunningham, G., Khanna, V., De Vos, M., Satia, I., Bafadhel, M. and Pavord, I., 2022

Read full article
Performance of cough monitoring by Albus Home, a contactless and automated system for nocturnal respiratory monitoring at home. 

Performance of Contactless Respiratory Rate Monitoring by Albus HomeTM, an Automated System for Nocturnal Monitoring at Home: A Validation Study. 

Sensors, 22(19), p.7142

Do, W., Russell, R., Wheeler, C., Lockwood, M., De Vos, M., Pavord, I. and Bafadhel, M.

Read full article
Performance of Contactless Respiratory Rate Monitoring by Albus HomeTM, an Automated System for Nocturnal Monitoring at Home: A Validation Study. 

It is encouraging to see innovative technology being developed that could help diagnose and better manage respiratory conditions

such as asthma and COPD in the future.

Dr Erika Kennington

Head of Research & Innovation

Asthma UK and British Lung Foundation

Dr Erika Kennington

Advancing clinical trials across a range of therapeutic areas

We support research and pharma teams with scalable, patient-friendly monitoring for decentralised clinical trials across multiple therapeutic areas. Our contactless technology delivers high-quality data, improves adherence, and speeds endpoint validation.